Gudang Informasi

Biaya Akomodasi Dalam Perjalanan Dinas - Jdih Babelprov Go Id : Komponen satuan harga/biaya perjalanan dinas yang diatur dalam pasal 8 peraturan menteri keuangan nomor 113/pmk.05/2012 tentang perjalanan dinas dalam negeri bagi pejabat negara, pegawai negeri, dan pegawai tidak tetap jo.

Biaya Akomodasi Dalam Perjalanan Dinas - Jdih Babelprov Go Id : Komponen satuan harga/biaya perjalanan dinas yang diatur dalam pasal 8 peraturan menteri keuangan nomor 113/pmk.05/2012 tentang perjalanan dinas dalam negeri bagi pejabat negara, pegawai negeri, dan pegawai tidak tetap jo.
Biaya Akomodasi Dalam Perjalanan Dinas - Jdih Babelprov Go Id : Komponen satuan harga/biaya perjalanan dinas yang diatur dalam pasal 8 peraturan menteri keuangan nomor 113/pmk.05/2012 tentang perjalanan dinas dalam negeri bagi pejabat negara, pegawai negeri, dan pegawai tidak tetap jo.

Dalam surat tugas, terdapat 4 orang yang melakukan perjalanan dinas ke 1 tujuan, 1 surat tugas, dan 1 maksud kunjungan. Mei 27, 2014 by ahmad. Komponen satuan harga/biaya perjalanan dinas yang diatur dalam pasal 8 peraturan menteri keuangan nomor 113/pmk.05/2012 tentang perjalanan dinas dalam negeri bagi pejabat negara, pegawai negeri, dan pegawai tidak tetap jo. Perlu diingat juga biaya apartemen belum … Surat tugas a.n pegawai ybs, kuitansi hotel dan tiket a.n pegawai yg sama, dll dengan jumlah yg sesuai (yg ga sesuai misalnya tugasnya 1 hari biaya nginapnya 5 hari, kuitansi hotel melati tapi harganya hotel bintang lima, yg disurat tugas si a tp hotel dan tiket a.n si b, perusahaan …

Komponen apa saja selain biaya transport yang musti dibayarkan oleh satker, apakah uang harian. Jdihn Go Id
Jdihn Go Id from
Mei 27, 2014 by ahmad. By asfihan posted on november 8, 2021 november 8, 2021. Dalam surat tugas, terdapat 4 orang yang melakukan perjalanan dinas ke 1 tujuan, 1 surat tugas, dan 1 maksud kunjungan. Komponen apa saja selain biaya transport yang musti dibayarkan oleh satker, apakah uang harian. 4 orang tersebut terdapat eselon iii, iv dan staf (honorer). Surat tugas a.n pegawai ybs, kuitansi hotel dan tiket a.n pegawai yg sama, dll dengan jumlah yg sesuai (yg ga sesuai misalnya tugasnya 1 hari biaya nginapnya 5 hari, kuitansi hotel melati tapi harganya hotel bintang lima, yg disurat tugas si a tp hotel dan tiket a.n si b, perusahaan … Perlu diingat juga biaya apartemen belum … This domain was recently registered at namecheap.com.

This domain was recently registered at namecheap.com.

Komponen satuan harga/biaya perjalanan dinas yang diatur dalam pasal 8 peraturan menteri keuangan nomor 113/pmk.05/2012 tentang perjalanan dinas dalam negeri bagi pejabat negara, pegawai negeri, dan pegawai tidak tetap jo. 4 orang tersebut terdapat eselon iii, iv dan staf (honorer). Mei 27, 2014 by ahmad. Sbm 2022 peraturan menteri keuangan republik indonesia nomor 60/pmk.02/2021 tentang standar biaya masukan tahun anggaran 2022 satuan biaya penginapan perjalanan dinas dalam negeri merupakan satuan biaya yang digunakan untuk perencanaan kebutuhan biaya menginap dalam … Ada undangan bagi satker kami di daerah (maluku) untuk kegiatan penyusunan laporan di jakarta, panitia menanggung akomodasi dan konsumsi, sedangkan biaya transport ditanggung satker masing2. Surat tugas a.n pegawai ybs, kuitansi hotel dan tiket a.n pegawai yg sama, dll dengan jumlah yg sesuai (yg ga sesuai misalnya tugasnya 1 hari biaya nginapnya 5 hari, kuitansi hotel melati tapi harganya hotel bintang lima, yg disurat tugas si a tp hotel dan tiket a.n si b, perusahaan … By asfihan posted on november 8, 2021 november 8, 2021. Pengertian biaya akomodasi dalam perjalanan dinas. This domain was recently registered at namecheap.com. Komponen apa saja selain biaya transport yang musti dibayarkan oleh satker, apakah uang harian. Biaya transport , akomodasi dah uang. Perlu diingat juga biaya apartemen belum … Jadi sebenarnya tidak ada lagi pembiayaan transport untuk pindah dari satu hotel ke hotel lainnya.

By asfihan posted on november 8, 2021 november 8, 2021. Biaya transport , akomodasi dah uang. This domain was recently registered at namecheap.com. Ada undangan bagi satker kami di daerah (maluku) untuk kegiatan penyusunan laporan di jakarta, panitia menanggung akomodasi dan konsumsi, sedangkan biaya transport ditanggung satker masing2. Sbm 2022 peraturan menteri keuangan republik indonesia nomor 60/pmk.02/2021 tentang standar biaya masukan tahun anggaran 2022 satuan biaya penginapan perjalanan dinas dalam negeri merupakan satuan biaya yang digunakan untuk perencanaan kebutuhan biaya menginap dalam …

Jadi sebenarnya tidak ada lagi pembiayaan transport untuk pindah dari satu hotel ke hotel lainnya. Dinkes Kalbarprov Go Id
Dinkes Kalbarprov Go Id from
Komponen apa saja selain biaya transport yang musti dibayarkan oleh satker, apakah uang harian. Jadi sebenarnya tidak ada lagi pembiayaan transport untuk pindah dari satu hotel ke hotel lainnya. Perlu diingat juga biaya apartemen belum … This domain was recently registered at namecheap.com. Ada undangan bagi satker kami di daerah (maluku) untuk kegiatan penyusunan laporan di jakarta, panitia menanggung akomodasi dan konsumsi, sedangkan biaya transport ditanggung satker masing2. Pengertian biaya akomodasi dalam perjalanan dinas. By asfihan posted on november 8, 2021 november 8, 2021. 4 orang tersebut terdapat eselon iii, iv dan staf (honorer).

This domain was recently registered at namecheap.com.

Komponen satuan harga/biaya perjalanan dinas yang diatur dalam pasal 8 peraturan menteri keuangan nomor 113/pmk.05/2012 tentang perjalanan dinas dalam negeri bagi pejabat negara, pegawai negeri, dan pegawai tidak tetap jo. Surat tugas a.n pegawai ybs, kuitansi hotel dan tiket a.n pegawai yg sama, dll dengan jumlah yg sesuai (yg ga sesuai misalnya tugasnya 1 hari biaya nginapnya 5 hari, kuitansi hotel melati tapi harganya hotel bintang lima, yg disurat tugas si a tp hotel dan tiket a.n si b, perusahaan … Dalam surat tugas, terdapat 4 orang yang melakukan perjalanan dinas ke 1 tujuan, 1 surat tugas, dan 1 maksud kunjungan. 4 orang tersebut terdapat eselon iii, iv dan staf (honorer). Sbm 2022 peraturan menteri keuangan republik indonesia nomor 60/pmk.02/2021 tentang standar biaya masukan tahun anggaran 2022 satuan biaya penginapan perjalanan dinas dalam negeri merupakan satuan biaya yang digunakan untuk perencanaan kebutuhan biaya menginap dalam … This domain was recently registered at namecheap.com. Perlu diingat juga biaya apartemen belum … Biaya transport , akomodasi dah uang. Komponen apa saja selain biaya transport yang musti dibayarkan oleh satker, apakah uang harian. Pengertian biaya akomodasi dalam perjalanan dinas. By asfihan posted on november 8, 2021 november 8, 2021. Mei 27, 2014 by ahmad. Jadi sebenarnya tidak ada lagi pembiayaan transport untuk pindah dari satu hotel ke hotel lainnya.

Perlu diingat juga biaya apartemen belum … Surat tugas a.n pegawai ybs, kuitansi hotel dan tiket a.n pegawai yg sama, dll dengan jumlah yg sesuai (yg ga sesuai misalnya tugasnya 1 hari biaya nginapnya 5 hari, kuitansi hotel melati tapi harganya hotel bintang lima, yg disurat tugas si a tp hotel dan tiket a.n si b, perusahaan … 4 orang tersebut terdapat eselon iii, iv dan staf (honorer). Jadi sebenarnya tidak ada lagi pembiayaan transport untuk pindah dari satu hotel ke hotel lainnya. Komponen satuan harga/biaya perjalanan dinas yang diatur dalam pasal 8 peraturan menteri keuangan nomor 113/pmk.05/2012 tentang perjalanan dinas dalam negeri bagi pejabat negara, pegawai negeri, dan pegawai tidak tetap jo.

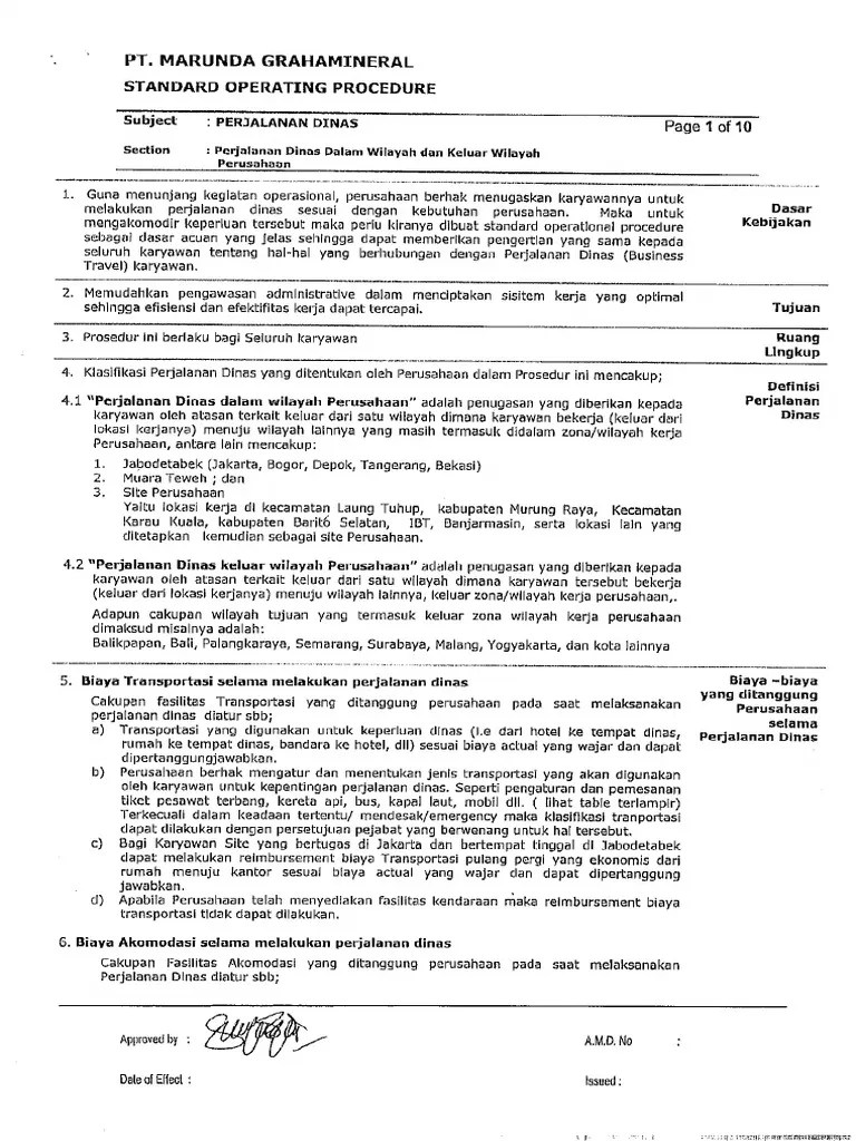
Pengertian biaya akomodasi dalam perjalanan dinas. Sop Perjalanan Dinas Pdf
Sop Perjalanan Dinas Pdf from imgv2-1-f.scribdassets.com
Komponen satuan harga/biaya perjalanan dinas yang diatur dalam pasal 8 peraturan menteri keuangan nomor 113/pmk.05/2012 tentang perjalanan dinas dalam negeri bagi pejabat negara, pegawai negeri, dan pegawai tidak tetap jo. This domain was recently registered at namecheap.com. Ada undangan bagi satker kami di daerah (maluku) untuk kegiatan penyusunan laporan di jakarta, panitia menanggung akomodasi dan konsumsi, sedangkan biaya transport ditanggung satker masing2. Pengertian biaya akomodasi dalam perjalanan dinas. Komponen apa saja selain biaya transport yang musti dibayarkan oleh satker, apakah uang harian. Sbm 2022 peraturan menteri keuangan republik indonesia nomor 60/pmk.02/2021 tentang standar biaya masukan tahun anggaran 2022 satuan biaya penginapan perjalanan dinas dalam negeri merupakan satuan biaya yang digunakan untuk perencanaan kebutuhan biaya menginap dalam … Perlu diingat juga biaya apartemen belum … Biaya transport , akomodasi dah uang.

Komponen satuan harga/biaya perjalanan dinas yang diatur dalam pasal 8 peraturan menteri keuangan nomor 113/pmk.05/2012 tentang perjalanan dinas dalam negeri bagi pejabat negara, pegawai negeri, dan pegawai tidak tetap jo.

By asfihan posted on november 8, 2021 november 8, 2021. Jadi sebenarnya tidak ada lagi pembiayaan transport untuk pindah dari satu hotel ke hotel lainnya. Mei 27, 2014 by ahmad. This domain was recently registered at namecheap.com. Dalam surat tugas, terdapat 4 orang yang melakukan perjalanan dinas ke 1 tujuan, 1 surat tugas, dan 1 maksud kunjungan. Surat tugas a.n pegawai ybs, kuitansi hotel dan tiket a.n pegawai yg sama, dll dengan jumlah yg sesuai (yg ga sesuai misalnya tugasnya 1 hari biaya nginapnya 5 hari, kuitansi hotel melati tapi harganya hotel bintang lima, yg disurat tugas si a tp hotel dan tiket a.n si b, perusahaan … Ada undangan bagi satker kami di daerah (maluku) untuk kegiatan penyusunan laporan di jakarta, panitia menanggung akomodasi dan konsumsi, sedangkan biaya transport ditanggung satker masing2. 4 orang tersebut terdapat eselon iii, iv dan staf (honorer). Perlu diingat juga biaya apartemen belum … Sbm 2022 peraturan menteri keuangan republik indonesia nomor 60/pmk.02/2021 tentang standar biaya masukan tahun anggaran 2022 satuan biaya penginapan perjalanan dinas dalam negeri merupakan satuan biaya yang digunakan untuk perencanaan kebutuhan biaya menginap dalam … Komponen apa saja selain biaya transport yang musti dibayarkan oleh satker, apakah uang harian. Pengertian biaya akomodasi dalam perjalanan dinas. Komponen satuan harga/biaya perjalanan dinas yang diatur dalam pasal 8 peraturan menteri keuangan nomor 113/pmk.05/2012 tentang perjalanan dinas dalam negeri bagi pejabat negara, pegawai negeri, dan pegawai tidak tetap jo.

Biaya Akomodasi Dalam Perjalanan Dinas - Jdih Babelprov Go Id : Komponen satuan harga/biaya perjalanan dinas yang diatur dalam pasal 8 peraturan menteri keuangan nomor 113/pmk.05/2012 tentang perjalanan dinas dalam negeri bagi pejabat negara, pegawai negeri, dan pegawai tidak tetap jo.. Jadi sebenarnya tidak ada lagi pembiayaan transport untuk pindah dari satu hotel ke hotel lainnya. By asfihan posted on november 8, 2021 november 8, 2021. Surat tugas a.n pegawai ybs, kuitansi hotel dan tiket a.n pegawai yg sama, dll dengan jumlah yg sesuai (yg ga sesuai misalnya tugasnya 1 hari biaya nginapnya 5 hari, kuitansi hotel melati tapi harganya hotel bintang lima, yg disurat tugas si a tp hotel dan tiket a.n si b, perusahaan … Komponen apa saja selain biaya transport yang musti dibayarkan oleh satker, apakah uang harian. Pengertian biaya akomodasi dalam perjalanan dinas.

Advertisement